Recibido: 2 de marzo de 2023; Aceptado: 29 de noviembre de 2023; : 26 de febrero de 2024
Resumen
Las áreas de bosque seco tropical remanentes en el corredor minero del Cesar son vitales en la conservación de la biodiversidad de mamíferos de la región Caribe colombiana. Se presenta la lista de mamíferos y se analiza la diversidad taxonómica por coberturas asociadas a tres proyectos mineros de la multinacional Drummond Ltd., ubicada en el departamento del Cesar. Se registraron 66 especies de 30 familias y 9 órdenes de mamíferos, donde Chiroptera (24 spp.), Rodentia (16 spp.) y Carnivora (10 spp.) presentan el mayor número de especies. Se destaca la presencia de cuatro especies endémicas para Colombia, Aotus griseimembra, Cebus versicolor, Pattonomys semivillosus y Proechimys chrysaeolus. Se encontró presencia de mamíferos en 12 coberturas, particularmente arbustal, bosques de galería y herbazal (43 spp.). Estos resultados resaltan la importancia de las acciones de compensación y conservación de los proyectos mineros, generalmente asociados a ecosistemas nativos del bosque seco tropical. Estas áreas son de gran importancia en el mantenimiento y protección de los mamíferos silvestres, al estar embebidas en una matriz regional de potreros y pastos limpios.
Palabras clave:
áreas de compensación, bosque seco tropical, compensación ambiental, endemismos, inventarios, minería.Abstract
Remnant tropical dry forest areas in the Cesar mining corridor are vital for the conservation of mammal biodiversity in the Colombian Caribbean. This study presents the list of mammals and analyzes taxonomic diversity by cover in three mining projects of Drummond Ltd. located in the department of Cesar. We recorded 66 species from 30 families and 9 orders of mammals, where Chiroptera (24 spp.), Rodentia (16 spp.) and Carnivora (10 spp.) have the highest number of species. Four of them are endemic: Aotus griseimembra, Cebus versicolor, Pattonomys semivillosus and Proechimys chrysaeolus. Mammals were found in 12 coverages, particularly shrublands, gallery forests and grasslands (43 spp.). Results highlight the importance of compensation and conservation actions in mining projects, which generally have native ecosystems associated with tropical dry forest. These areas are critical in the maintenance and protection of wild mammals, as they are embedded in a regional matrix of clean and stock pastures.
Keywords:
compensation areas, endemism, environmental compensation, inventories, mining, tropical dry forest.Introducción
El bosque seco tropical (BST) es uno de los ecosistemas más amenazados en el mundo y en el Neotrópico (García & González-M, 2019), además de ser considerado uno de más perturbados y menos conocidos (Fajardo et al., 2013). Sus formaciones se distribuyen por debajo de los 1000 m y las precipitaciones son menores a los 1500 mm en promedio anual. A nivel global, los bosques secos tropicales se enfrentan a amenazas que comprometen su existencia y la riqueza de su biodiversidad (Miles et al., 2006), entre ellas, la deforestación derivada de actividades como la tala ilegal y la expansión agrícola (Portillo & Sánchez, 2010). Asimismo, el cambio climático plantea serios desafíos al alterar los patrones de precipitación y temperatura (Moura et al., 2023). La fragmentación del hábitat es otra consecuencia preocupante, ya que divide y aísla poblaciones de especies, reduciendo su capacidad de migración y supervivencia (Fahrig, 2003; 2021). Además, la extracción no sostenible de recursos forestales como la madera junto con la cacería ilegal acrecientan aún más la problemática (Janzen, 1988). Estos factores combinados representan una amenaza seria para la estabilidad y la integridad de los bosques secos tropicales a nivel mundial.
En Colombia es posible encontrar BST en la región Caribe, los valles interandinos de los ríos Cauca y Magdalena en la región Norandina, y en la región Orinoquia, en el piedemonte de los departamentos de Arauca, Casanare y Vichada (Sánchez et al., 2012; García & González, 2019). El BST en Colombia presenta un alto grado de fragmentación ocasionado por la agricultura, la ganadería y la infraestructura humana (González et al., 2018). A pesar de esto, se reconoce por presentar una importante muestra de las especies que habitan el territorio nacional y es considerado centro de endemismo dadas las condiciones de estrés hídrico que han favorecido la adaptación de ciertas especies que lo habitan, tales como Marmosa xerophila (Didelphimorphia), Pattonomys semivillosus (Rodentia) y Saguinus oedipus (Primate) (Pizano & García, 2014). Para la región Caribe colombiana, se considera que solo permanece el 8 % de su cobertura original (García & González, 2019).
Para el Caribe colombiano, en la última década han aumentado los estudios de los mamíferos con iniciativas que buscan conocer la riqueza, la distribución y el estado de conservación de las especies (Galván, 2010; Diaz et al., 2014; Racero et al., 2015; García & González, 2019; Fernández et al., 2020; Avendaño et al., 2021; Chacón et al., 2022a; Chacón et al., 2022b). Como parte de estos estudios, los listados de especies tienen un gran valor por ser un insumo base para la toma de decisiones en aspectos relacionados con la conservación y la gestión de la biodiversidad (Solari et al., 2013). Sin embargo, para esta región aún existen áreas con deficiencias en el conocimiento de los mamíferos, como el departamento del Cesar (Suárez et al., 2021), donde se hace necesario la generación de insumos con el fin de comprender los patrones de la distribución de las especies y así proponer herramientas de gestión ajustadas al territorio (Racero et al., 2015, Avendaño et al., 2021; Chacón et al., 2022a).
Para el departamento del Cesar, gran parte de la información sobre mamíferos se encuentra consignada en un número incierto de informes de caracterización o de estudios de impacto ambiental que son realizados para las compañías del corredor minero del Cesar, información que generalmente no está disponible al público (Rangel, 2015). Considerando que el Cesar no cuenta con listados taxonómicos publicados sobre los mamíferos de su territorio, más allá de lo presentado por Muñoz (2009), Ramírez (2009) y Solari et al. (2013) para la Serranía del Perijá, en este trabajo se busca caracterizar la diversidad taxonómica de mamíferos asociados a fragmentos de BST ubicados al interior de las áreas de monitoreo y compensación de la multinacional Drummond Ltd., la cual hace parte del corredor minero del Cesar, y que representan la mastofauna de las tierras bajas del BST en el departamento. De este modo, es necesario comprender como las áreas de compensación dentro de los complejos mineros influencian la diversidad de mamíferos. Esta información podría servir como un indicador de la salud ecosistémica, tomando a los mamíferos como bioindicadores de impacto ambiental. Además, permitirá diseñar estrategias de conservación y promover la toma de decisiones para proteger la biodiversidad asociada a estas áreas. Se espera que estos resultados sirvan para futuras iniciativas de prospección en muchas áreas de bosque seco del departamento del Cesar y en la región Caribe colombiana.
Materiales y métodos
Área de estudio
El departamento del Cesar se localiza en la zona norte del país y limita al norte con los departamentos de La Guajira y Magdalena, al sur con los departamentos de Bolívar y Norte de Santander, al occidente con Bolívar y Magdalena y al oriente con Norte de Santander y Venezuela. Tiene 25 municipios y una extensión de 22 527,5 km2. El 43 % de su topografía es montañosa y el resto es una planicie aluvial asociada a los ríos Ranchería y Cesar. Presenta un clima cálido en su parte plana, templado en la montañosa y clima de páramo en la Sierra Nevada de Santa Marta y en la Serranía de Perijá, entre los municipios de Manaure y Agustín Codazzi. Las principales actividades económicas son la agricultura, la ganadería y la minería de carbón a cielo abierto, que es su principal renglón (https://www.corpocesar.gov.co/generalidades.html).
La información presentada se circunscribe dentro del área de influencia de las tres concesiones mineras de la multinacional Drummond Ltd.: El Descanso Norte, La Loma-Pribbenow y Cerro Largo. Estas tres minas suman un área aproximada de 505,65 km2, ubicados hacia el centro del departamento del Cesar, entre las coordenadas 9,829870 N, -73,685526 W y 9,460427 N, -73,27272 W, en los municipios de Agustín Codazzi, Becerril, Chiriguaná, El Paso y La Jagua de Ibirico (Figura 1). La zona de estudio se caracteriza por formar parte de la planicie aluvial del río Cesar y Ariguaní, donde se destaca la formación de diques y cuencas localizados en forma paralela a los ríos Cesar, Ariguaní y Calenturitas. Tiene una topografía plana y ligeramente cóncava.
Figura 1: Ubicación de las concesiones mineras (nacional, departamental y municipal).
Método
Registro en campo
El listado se elaboró con registros de mamíferos realizados en 143 días efectivos de muestreo entre los años 2017 y 2021 por la Fundación para la Investigación y el Manejo de los Recursos Hidrobiológicos de la Región Caribe Colombiana - George Dahl. El muestreo se realizó en zonas destinadas por los proyectos mineros de Drummond Ltd. en Cerro Largo (CCR), El Descanso Norte (ED) y La Loma-Pribbenow (PBN) para el monitoreo y conservación de la biodiversidad al interior de sus áreas, a partir de cuatro actividades de manejo de fauna silvestre. La primera actividad es el monitoreo periódico de las estaciones biosensoras (10 para PBN, 6 para CCR y 4 para ED) (áreas que por compromiso con la licencia ambiental deben ser monitoreadas en los componentes de flora y fauna), que se realiza dos veces al año (temporada seca y lluviosa). La segunda proviene de las caracterizaciones biológicas que se realizan al interior de sus minas para estudios de capacidad de carga, La tercera son los monitoreos en las zonas receptoras de fauna silvestre (ZRF). Finalmente, la cuarta actividad corresponde a la información proveniente de las brigadas de rescate y liberación de fauna en áreas de avance minero.
Para la captura de murciélagos, se usaron seis redes de niebla de 6 m de longitud ubicadas entre 0,5 y 3 m de altura, entre las 06:00 y las 21:00 horas, atendiendo las normas de seguridad en las minas, basados en el sistema de gestión Health, Safety, Environment and Quality (HSEQ) durante 10 noches por estación biosensora en cada evento de muestreo (dos por año, solo uno para el año 2021). Además, se realizaron inspecciones debajo de estructuras (puentes, box culvert y tuberías), troncos de árboles y posibles sitios de percha, realizando capturas manuales con redes entomológicas. Para las capturas de los pequeños mamíferos no voladores se emplearon 10 trampas Sherman por estación biosensora durante 10 días consecutivos, que fueron cebadas con preparado de avena, mantequilla de maní y esencias concentradas de banano, piña y vainilla. Para los medianos y grandes mamíferos se empleó una cámara trampa por estación biosensora configurada en modo foto con resolución de 8 MP, autosensor infrarrojo para día y noche, una foto por evento e intervalo de un minuto entre fotos distanciadas en promedio entre 500 m y 1,5 km, dependiendo la cercanía a las estaciones biosensoras. Estas cámaras fueron ubicadas ad libitum. Además, se llevaron a cabo avistamientos de fauna durante recorridos diurnos y nocturnos (07:00-11:00 y 17:00-21:00 horas) durante 10 días a lo largo de diversas áreas de cobertura, lo que facilitó la detección de mamíferos.
Tratamiento taxonómico y estado de amenazas
Los animales capturados en campo fueron identificados siguiendo descripciones y claves taxonómicas (Gardner 2007; Patton et al., 2015; Diaz et al. 2016; 2021). El listado que se presenta sigue el arreglo taxonómico propuesto en la base de datos Mammal Diversity Database (2023). Para Artiodactyla se sigue a Ramírez et al. (2021), para los géneros Mazama y Odocoileus. Para el orden Chiroptera se siguió a Simmons y Cirranello (2023), para los géneros Micronycteris y Sturnira. En Rodentia, a Menezes et al. (2021), para el género Coendou.
El estado de amenaza de las especies a nivel nacional sigue la Resolución 0126 (Minambiente, 2024) y global de acuerdo con The Red List of Threatened Species de la International Union for Conservation of Nature (IUCN, 2021).
Análisis de datos
Para comparar la diversidad entre las minas, se estimó la diversidad alfa verdadera (qDα) con base en los números de Hill para todo el ensamblaje de mamíferos, y para los murciélagos y mamíferos no voladores. Se calcularon los valores “q” que representan los “ordenes” de la diversidad, donde q = 0 representa la riqueza de especies, q = 1 las especies abundantes (exponencial de la entropía de Shannon) y q = 2 las especies dominantes (inverso del índice de la dominancia de Simpson) (Jost, 2006). Como el esfuerzo de muestreo en cada mina fue diferente, se estimó la cobertura de muestreo con un método combinado de rarefacción y extrapolación (Chao & Jost, 2012), la rarefacción al esfuerzo de la mina menos muestreada y se estimó la diversidad esperada mediante extrapolación hasta el doble de la muestra menor (Chao et al., 2014). Para representar la estructura (riqueza y distribución de las abundancias) de cada mina se utilizaron los valores de diversidad de cada orden “q” de cada ensamblaje de mamíferos (todos los mamíferos, murciélagos y mamíferos no voladores). Para esto se utilizó el paquete iNEXT (Hsieh et al., 2016). Con el objetivo de observar los cambios en la riqueza de especies entre los años, se graficó el número de especies para cada mina en los años 2017, 2018, 2019 y 2020 (no se tuvo en cuenta el año 2021 por contar con solo un evento de muestreo). Adicionalmente se obtuvieron valores de abundancia relativa como la proporción de cada especie respecto a todas las especies en cada mina y se construyeron curvas de rango abundancia para todo el ensamblaje por cada una de las minas, buscando observar cambios en la distribución de las abundancias.
Para conocer la riqueza de especies por coberturas, se descargaron imágenes satelitales Landsat 8 del 1° de agosto de 2021, que permitieron la generación de coberturas de la tierra para cada una de las estaciones biosensoras en el área de estudio bajo la metodología Corine Land Cover adaptada para Colombia a nivel 3 (IDEAM, 2010). Se tomaron como áreas principales las zonas receptoras de fauna (ZRF) ya establecidas para las minas El Descanso Norte y La Loma-Pribbenow y todo el polígono de Cerro Largo con un buffer de 122,5 m hacia afuera de cada parcela de monitoreo de flora y fauna silvestre. Se obtuvo el número de especies por coberturas y se aplicó un análisis de similitud de las coberturas con base en la abundancia de las especies de mamíferos utilizando el índice de Bray-Curtis, y se construyó un dendrograma por el método de promedios no ponderados (UPGMA).
Resultados
Con un esfuerzo de 7200 m/red, 2000 Sherman/noche y 200 cámaras/día para cada evento de muestreo, se registraron 66 especies de mamíferos pertenecientes a 30 familias y 9 órdenes (Tabla 1, Anexo 1). Los datos reposan en el Sistema de Información en Biodiversidad de Colombia (SiB) y pueden descargarse en línea. El orden con mayor riqueza fue Chiroptera con 24 especies (35,82 % del total), seguido de Rodentia con 16 especies (23,88 %) y Carnivora (16,41 %) (Tabla 1). Se registraron cuatro especies endémicas de Colombia, dos para el orden Primate (Aotus griseimembra y Cebus versicolor) y dos para Rodentia (Pattonomys semivillosus y Proechimys chrysaeolus). En cuanto a categorías de amenaza a nivel global, se registraron dos especies en peligro (EN - C. versicolor y Oryzomys cf. gorgasi), dos vulnerables (VU - A. griseimembra y Myrmecophaga tridactyla), tres casi amenazadas (NT - Leopardus wiedii, Lontra longicaudis y Panthera onca) y dos con datos deficientes (DD - Hydrochoerus isthmius y P. chrysaeolus). A nivel nacional, se registró en peligro C. versicolor y como vulnerables A. griseimembra, H. isthmius, L. longicaudis y P. onca (Anexo 1).
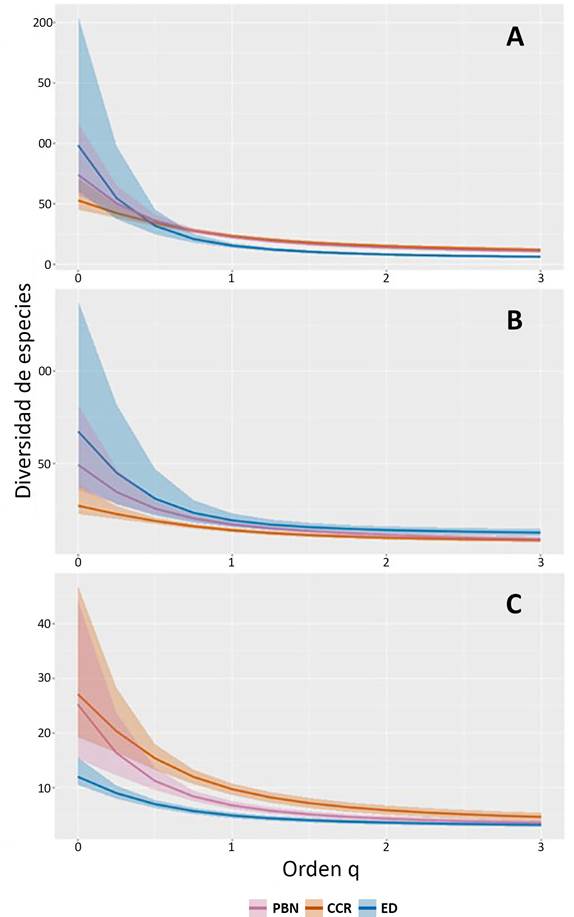
La curva de rarefacción y extrapolación de todos los mamíferos para las tres minas se acercó a la asíntota con una cobertura de muestreo del 98 al 99 %. La riqueza de especies observada más alta se encontró para la mina La Loma-Pribbenow con 56 especies (74 spp. esperadas), seguido de la mina Cerro Largo con 51 especies observadas (53 spp. esperadas) y El Descanso Norte con 38 especies, con una riqueza esperada de 98 especies (Figura 2A). La riqueza de especies observada de los mamíferos no voladores fue superior para la mina La Loma-Pribbenow (37 spp.), sin embargo, la riqueza esperada para la mina El Descanso Norte fue de 67 especies, superior a las minas La Loma-Pribbenow (49 spp.) y Cerro Largo (27 spp.) (Figura 2B).
Figura 2: Curvas de acumulación de la riqueza de especies estimada con respecto al tamaño de la muestra para todos los mamíferos (A), mamíferos no voladores (B) y murciélagos (C).
Figura 3: Cambio temporal en la riqueza de especies para cada mina entre 2017 y 2020.
Figura 4: Perfiles de diversidad para los diferentes grupos de mamíferos obtenidos a partir de la rarefacción.
Por su parte, para los murciélagos la riqueza observada y esperada fue superior en la mina Cerro Largo, con 24 y 27 especies, respectivamente, pero con menor riqueza observada y esperada para la mina El Descanso Norte (11 y 12 spp., respectivamente) (Figura 2C). En cuanto al cambio temporal de la riqueza de especies, se encontró que entre 2018 y 2020 el registro de especies disminuyó para las tres minas (Figura 3).
Tabla 1: Número de familias, géneros y especies de mamíferos registradas para las áreas de monitoreo y compensación en el complejo minero en el departamento del Cesar, Colombia.
Órdenes
Familias
Géneros
Especies
Didelphimorphia
1
3
3
Cingulata
1
1
1
Pilosa
3
4
4
Primates
2
3
3
Lagomorpha
1
1
2
Chiroptera
6
16
24
Carnívora
5
10
11
Artiodactyla
3
3
3
Rodentia
8
13
15
Total
30
54
66
Al incluir todas las especies de mamíferos y su abundancia en la medida de diversidad para las especies comunes (q = 1) y dominantes (q = 2), solo la mina El Descanso Norte mostró diferencias, con el menor número de especies comunes (14 spp.) y con la menor dominancia (8 spp.) (Figura 4A). Para los mamíferos no voladores, se encontró que la diversidad de orden q = 1 fue similar para las minas La Loma-Pribbenow y El Descanso Norte, pero significativamente diferente de la mina Cerro Largo (Figura 4B). En cuanto a los murciélagos, las especies comunes (q = 1) mostraron diferencias significativas entre las tres minas, mientras que para la dominancia (q = 2), la mina Cerro Largo mostró diferencias significativas con respecto a las demás (Figura 4C).
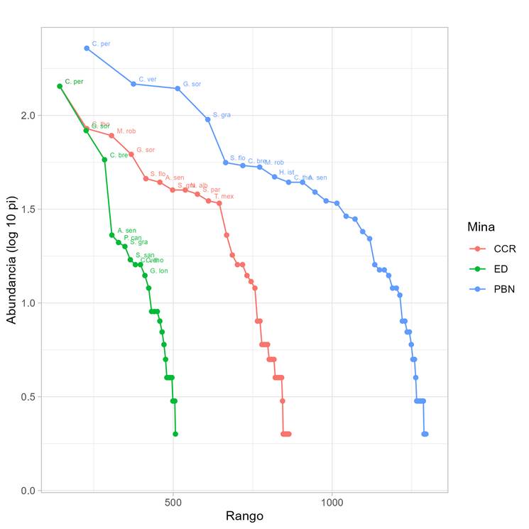
Figura 5: Curvas de rango-abundancia que muestran las diez especies de mamíferos más abundantes para cada mina.
En general, en todas las minas la mayoría de las especies fue rara, pero se encontró que la distribución de las abundancias en la mina El Descanso Norte fue más uniforme, a pesar de presentar los valores de abundancia relativa más bajos. Considerando las especies más abundantes en cada mina, se encontraron cambios en la composición del ensamblaje. La especie con mayor abundancia relativa en todas las minas fue Carollia perspicillata, seguida, en la mina La Loma-Pribbenow, de Cebus versicolor, en Cerro Largo por Cerdocyon thous, y por Glossophaga soricina en la mina El Descanso Norte (Figura 5, Anexo 1).
Las tres áreas analizadas representan una superficie de 3339,85 ha, donde se identificaron 12 coberturas de la tierra que reportaron mamíferos: arbustal, bosque de galería y ripario, herbazal, lagunas, lagos y ciénagas naturales, mosaico de pastos con espacios naturales, pastos enmalezados, pastos limpios, red vial, ferroviaria y terrenos asociados, vegetación secundaria o en transición, zonas de extracción minera, zonas industriales o comerciales, y zonas pantanosas. Las coberturas con mayor presencia de especies de mamíferos fueron bosque de galería, pastos enmalezados y pastos limpios, con 43 especies cada una, seguidas de arbustal (36 spp.). La cobertura con menor reporte de especies fue zonas pantanosas, con una especie (Figura 6). Se encontró que las coberturas formaron seis grupos, donde los de mayor similitud se vincularon a aquellas coberturas que comparten mayor número de especies (arbustal, bosques de galería y ripario, pastos enmalezados y pastos limpios) y menor número de especies (p. ej., zonas de extracción minera y zonas industriales).
Figura 6: Riqueza de especies de mamíferos (arriba) y dendrograma de similaridad (abajo) de las coberturas en las minas El Descanso Norte, La Loma-Pribbenow y Cerro Largo.
Discusión
Las 66 especies (Anexo 1) aportan significativamente al conocimiento de la biodiversidad en los bosques secos tropicales de la región del Cesar. Estos resultados adquieren mayor relevancia al considerar que estas especies representan el 12,6 % del total presente en Colombia (Ramírez et al., 2021). Además, el hecho de que el área de las minas, que abarca aproximadamente el 2,2 % de la superficie del departamento (22 527,5 km2), albergue más de la mitad de las especies registradas para todo el departamento del Cesar (54,5 %) (Solari et al. 2013) subraya la importancia ecológica de estas áreas de compensación. Este patrón de diversidad también se observa en otros departamentos de la región Caribe. Por ejemplo, el departamento del Atlántico, con un área de alrededor de 3390 km2, muestra que el número de especies registradas representa el 72,8 % (Avendaño et al., 2021). Similarmente, el departamento de Sucre, con una extensión de más de 10 900 km2, presenta un 46,2 % de las especies registradas (Chacón et al., 2022b). Estos resultados son indicativos de la importancia de áreas relativamente pequeñas en términos de superficie -como las áreas de compensación asociadas al complejo minero en el Cesar- para la conservación de la diversidad biológica, en comparación con regiones más extensas en la región Caribe.
El comportamiento de los estimadores de la diversidad de mamíferos estaría relacionado a características propias de los muestreos, que pueden introducir sesgos en los resultados obtenidos debido a las distintas tasas de detección de los diferentes grupos de mamíferos (p. ej., diferencias en la detección de murciélagos y mamíferos terrestres) (Espartosa et al., 2011; Lee & Guénard, 2019, Palmerin et al., 2020) y, además, a cada cobertura muestreada, donde el tamaño, la forma, la conectividad y el estado de conservación influyen sobre los patrones de diversidad (Hansen & Urban, 1992; Frank & Wissel, 1998). Así, los resultados de riqueza de especies encontrados para cada una de las minas pudo estar asociado a la cobertura y al tamaño diferente de las áreas que cubren las estaciones biosensoras. Por ejemplo, en la mina La Loma-Pribbenow la mayor riqueza de especies encontradas (56 spp.) podría estar relacionada con el número de estaciones biosensoras que fueron monitoreadas (10) y al tipo de coberturas naturales, el tamaño y su estado de conservación, mientras que en la mina El Descanso Norte, a pesar de presentar una mayor área de conservación, solo se monitorean cuatro estaciones definidas por obligación de licencia, en donde la matriz de paisaje dominante son los pastos con árboles dispersos y algunos arbustales. La mina Cerro Largo presentó la menor riqueza de especies, aunque fueron monitoreadas seis estaciones. Sin embargo, cabe anotar que esta última mina, pese a que está cerrada y es la más pequeña de todas (220 ha), es afectada en su totalidad por incendios forestales naturales recurrentes durante el periodo seco (Corpocesar, 2011). Estos eventos posiblemente inciden en la presencia sostenida de especies de mamíferos en su interior y generan cambios en la composición de los ensamblajes debido a las alteraciones en la configuración de sus hábitats (Swan et al., 2015; Ferreira et al., 2019). En este contexto, los resultados obtenidos sugieren que los cambios en la composición y configuración del paisaje asociado al bosque seco tropical (cambios en las coberturas) podrían influir en la distribución y abundancia de especies de mamíferos. Por ese motivo, se deben realizar análisis más detallados para explorar la relación entre la estructura del paisaje y la diversidad taxonómica y funcional de mamíferos en estas minas.
A pesar de la intervención en las áreas de estudio, se destaca la presencia de especies amenazadas, como Myrmecophaga tridactyla, que se ve afectada por las modificaciones del paisaje por la introducción de elementos antrópicos (carreteras, cultivos o ganadería) (Chacón et al., 2017), y Lontra longicaudis, especie semiacuática, sensible a la contaminación de los cuerpos de agua (Cruz et al., 2017). Además, cabe destacar la presencia de primates endémicos y en peligro de extinción, tales como Aotus griseimembra y Cebus versicolor. Estas especies han sido avistadas en los bosques de galería que rodean las minas, donde se encuentran las condiciones ideales para desplazarse a través de diversas coberturas en busca de alimento. En particular, se ha observado que C. versicolor tiende a formar grupos numerosos en esta área (Chapman et al., 1989). Para las áreas de monitoreo y conservación se obtuvo registro de presencia de los roedores endémicos Proechimys chrysaeoleus y Pattonomys semivillosus, este último reportado solo para la mina El Descanso Norte. P. semivillosus es una especie común, pero poco conocida (Mejía, 2018), que recientemente fue propuesta en la categoría D de rareza y como casi amenazada (NT) según los criterios de la IUCN (Chacón et al., 2022c).
Al considerar las especies más abundantes en cada mina, se observaron cambios significativos en la composición del ensamblaje, probablemente por las condiciones y disponibilidad de recursos vinculados a cada una. Carollia perspicillata y Glossophaga soricina presentaron valores altos de abundancia relativa para todas las minas, lo cual podría estar asociado a que son consideradas especies generalistas y tolerantes a los cambios en las condiciones ambientales (Medellín et al., 2000; Bejarano-Bonilla et al., 2007). En contraste, Cebus versicolor presentó valores altos de abundancia en La Loma-Pribbenow, lo que muestra la importancia de las áreas de compensación en esta mina para el mantenimiento de poblaciones de esta especie endémica y amenazada. A pesar de ello, se necesita evaluar la dinámica y conectividad funcional de esta y otras especies para prevenir posibles amenazas a mediano y largo plazo.
Es importante destacar el registro de 24 especies del orden Chiroptera, que representan el 11,05 % de las especies registradas para el país (Ramírez et al., 2021). Los murciélagos desempeñan un papel crucial en la ecología de la región como controladores de insectos, dispersores de semillas y polinizadores. Estas funciones contribuyen a los procesos de sucesión ecológica y conservación de fragmentos de bosques, así como a la regeneración de ambientes degradados (Estrada et al., 1993; Medellín & Gaona, 1999; Estrada & Coates, 2002).
Igualmente, llama la atención la presencia de cinco de las siete especies de felinos que tienen distribución en el territorio nacional, entre ellas el puma (Puma concolor) y el jaguar (Panthera onca); este último amenazado en el departamento del Cesar por la transformación de sus hábitats y las muertes por conflictos con humanos (Fernández et al., 2020). Se considera que la presencia de estos dos grandes carnívoros es de importancia tanto cultural como ecosistémica por ser depredadores tope y regular las poblaciones de otras especies de mamíferos (Terborgh et al., 2001).
Adicionalmente, se destaca la presencia de Hydrochoerus isthmius, especie abundante que es favorecida por los diferentes bosques de galería y los cuerpos de agua en las áreas de estudio (p. ej., ríos, caños, el embalse El Paujil) y considerada una especie de gran importancia sociobiológica en la cuenca del río Cesar y en todo el Caribe por la calidad y uso de su carne (Ballesteros & Jorgenson, 2009; Chacón et al., 2013; Gómez et al., 2023).
Por otro lado, el análisis temporal revela una disminución en la riqueza de especies entre los años 2018 y 2020 para las tres minas. Este cambio temporal podría indicar una posible dinámica en la composición de los ensamblajes de mamíferos en respuesta a factores ambientales o antropogénicos. La interpretación de esta disminución requeriría una exploración más detallada de posibles causas, como cambios en el hábitat, presiones antropogénicas, o variaciones climáticas que podrían afectar la presencia y abundancia de especies a lo largo del tiempo. Estos resultados, además de contribuir al entendimiento de la biodiversidad local, resaltan la importancia de monitoreo continuo para evaluar la dinámica de las poblaciones de mamíferos en estas áreas.
La principal amenaza a las especies registradas proviene de los incendios naturales en la temporada seca del año que no solo afectan estas zonas sino, en general, a los bosques secos del departamento del Cesar. Considerando que el fuego es un agente de estrés en los ecosistemas (Bowman et al., 2013; Jolly et al., 2015; Pausas & Keeley, 2009), se debe reconocer que los incendios cumplen un rol periódico en su funcionamiento y en el mantenimiento de la biodiversidad (Boesing et al., 2017; Kelly et al., 2016) por influir en los patrones espacio-temporales de los paisajes (Chia et al., 2015), la estructura de la vegetación y la distribución y abundancia de la fauna (Briani et al., 2004; Litt & Steidl, 2011; Mowat et al., 2015). De hecho, hay efectos diferenciales en la ocupación de poblaciones de pequeños mamíferos en áreas o coberturas que periódicamente sufren quemas (González et al., 2021). Aunque este estudio no analizó específicamente el impacto de los incendios en la comunidad de mamíferos, minas como Cerro Largo, que son recurrentemente afectadas por incendios naturales durante la temporada seca, mostraron una disminución significativa en la diversidad y la cantidad de individuos. Por lo tanto, se sugiere que los niveles de diversidad reportados podrían estar influenciados por este fenómeno.
La cacería ilegal también es una problemática en las áreas de compensación que afecta a los mamíferos, entre ellos, conejos (Sylvilagus sp.), armadillos (Dasypus novemcinctus y Cabassous centralis), venados (Mazama sanctaemartae y Odocoileus cariacou) y chigüiros (H. isthmius). Un seguimiento a este fenómeno es necesario debido a que puede ocasionar comunidades de vida silvestre empobrecidas y homogeneizadas, desencadenando problemas ecológicos, evolutivos y socioeconómicos (Dirzo et al., 2014). Por esta razón, dentro de las áreas de compensación se realizan patrullajes de seguridad terrestres y aéreos (a través de drones), con el objetivo identificar la presencia de cazadores. Además, se llevan a cabo campañas de sensibilización dirigidas a las comunidades cercanas a estas áreas y al personal operativo.
Como parte de este esfuerzo, también se han tomado medidas para prevenir el atropello de mamíferos en las operaciones mineras. Esto incluye la ubicación de señales para reducir la velocidad en sitios identificados como paso de fauna y la creación de pasos mediante el uso de tuberías.
Si bien se considera que la minería es una actividad que genera impactos sobre la biota, las mineras, dentro de sus políticas de conservación, reconocen la relación que debe tener la industria con la conservación de la biodiversidad (Vives & Pimentel, 2004). Estas políticas incluyen herramientas de gestión para la compensación ambiental que pretenden neutralizar el impacto adverso generado por el proceso extractivo (Alonso et al., 2020). Así, se reconoce el papel que desempeñan dichas áreas de compensación como posibles refugios para especies que suelen encontrarse fuera de los proyectos mineros, con coberturas transformadas con alto grado de intervención, y que son afectadas por actividades como la ganadería y monocultivos de palma africana, las cuales históricamente han generado pérdida de biodiversidad (Bravo, 2006; Morton et al., 2006).
En conclusión, los resultados aquí obtenidos sobre la diversidad de mamíferos en las áreas de compensación vinculadas al complejo minero en la región del Cesar destacan la importancia ecológica de estos espacios que, a pesar de las actividades humanas, albergan una considerable riqueza biológica. Asimismo, señalan la necesidad de abordar los impactos potenciales de la caza ilegal y los incendios naturales, y resaltan la necesidad de generar acciones que integren a la sociedad y a los ecosistemas (particularmente el bosque seco tropical) y promuevan el monitoreo de la biodiversidad en entornos impactados por la minería, reconociendo la contribución de las áreas de compensación al mantenimiento de la riqueza biológica en la región.







