Recibido: 24 de febrero de 2022; Aceptado: 13 de marzo de 2023; : 1 de julio de 2023
Resumen
En las comunidades coralinas, los peces herbívoros ocupan un papel principal en el mantenimiento y control de algas que son la base de la cadena trófica en los arrecifes coralinos. Entre los peces herbívoros de los arrecifes de coral, la familia Acanthuridae es de las más abundantes. Los efectos en los arrecifes de esta familia pueden variar en función de sus densidades, la estabilidad del ecosistema y sus interacciones, por lo que determinar el estado de sus poblaciones resulta de interés. En el archipiélago de San Andrés, Providencia y Santa Catalina (ASAP) falta información del estado actual de las abundancias y densidades de este grupo. Por lo tanto, mediante censos visuales de especies del género Acanthurus se estimaron los estados poblacionales en comunidades coralinas del ASAP y las diferencias poblacionales entre los sitios evaluados (San Andrés, isla cayo Bolívar, isla cayo Serrana y Providencia), lo cual evidenció un total de 6075 individuos, además de una relación positiva de abundancias en las islas de San Andrés y Providencia con respecto a las islas cayos Bolívar y Serrana. En cuanto a la preferencia de hábitat de juveniles se encontró una especialización y preferencia de hábitat de A. coeruleus por las zonas arrecifales, entretanto A. tractus mostró preferencia por los manglares.
Palabras clave:
Acanthurus, abundancia, archipiélago de San Andrés, herbívoros, arrecife.Abstract
In coral communities, herbivorous fish play a major role in maintaining and controlling algae, which are the base of the food chain in coral reefs. Among the herbivorous fish of coral reefs, the family Acanthuridae is one of the most abundant. Effects of this family on coral reefs can vary depending on their densities, ecosystem stability, and their interactions; therefore, determining the status of their populations is a concern. In the archipelago of San Andrés, Providencia, and Santa Catalina (ASAP) there is a lack of information on the status of the abundances and densities of this group. Through visual censuses of species of the genus Acanthurus, the population states in the ASAP coral communities and the population differences between the evaluated sites (San Andrés, isla cayo Bolívar, isla cayo Serrana and Providencia) were estimated. Showing an abundance of 6075 individuals, in addition to a positive relationship of abundances in the islands of San Andrés and Providencia with respect to the Bolívar and Serrana keys. Regarding the habitat preference of juveniles, a specialization and habitat preference of A. coeruleus was found for reef zones, while A. tractus showed a preference for mangroves.
Keywords:
Acanthurus, abundance, Archipielago of San Andrés, herbivorous, reef.Introducción
Los arrecifes de coral son uno de los ecosistemas más productivos y biodiversos del planeta (Wilkinson, 2002). Además de su importancia biológica, los arrecifes y comunidades coralinas suplen las necesidades de un considerable número de personas alrededor del mundo con bienes y servicios que derivan en alimentación, turismo y la protección de las costas ante la erosión del oleaje (Done et al., 1996). Por ello, es relevante el conocimiento de los factores que mantienen y controlan la estabilidad de estos ecosistemas.
Las comunidades coralinas poseen una alta diversidad de nichos ecológicos, donde los herbívoros juegan un papel clave en el flujo de energía y materia y, en especial, median en las interacciones de competencia por espacio entre los corales y las algas (Marshell y Mumby, 2015). Unos de los herbívoros más abundantes y con mayor biomasa en los arrecifes de coral son los peces cirujano, familia Acanthuridae (Bellwood, 2003). Estos, junto con los peces loro, desempeñan un rol fundamental en el mantenimiento de los arrecifes de coral al ser consumidores primarios de algas, las cuales son competidoras de los corales constructores de arrecifes (Duarte y Acero, 1988; Bellwood et al., 2004). Los efectos de los peces herbívoros en los hábitats arrecifales, en particular de los acantúridos, pueden variar según sus densidades, la estabilidad del ecosistema y sus interacciones ecológicas. Correlacionar sus densidades con el estado de las comunidades coralinas en función de su control sobre las algas es otro factor para el entendimiento de las dinámicas ecológicas en los arrecifes (Lewis, 1985).
En particular, tres especies de la familia Acanthuridae (Acanthurus chirurgus, A. coeruleus y A. tractus) tienen un papel decisivo en el control algal de las comunidades coralinas del Caribe y el Atlántico occidental (Robertson et al., 2005). También, se ha planteado que los acantúridos son un grupo con un grado de explotación considerablemente menor en relación con los otros peces herbívoros en el gran Caribe, por lo que sus estados poblacionales en términos de biomasa y abundancia serán de gran importancia en el balance ecosistémico de los arrecifes coralinos (Shantz et al., 2020). Por lo tanto, determinar el estado de sus poblaciones en cuanto a juveniles y adultos es información base para la conservación de este grupo de peces y las comunidades de arrecifes a las que pertenecen.
Adicionalmente, se han realizado aproximaciones experimentales en la Gran Barrera de Coral australiana de la abundancia y distribución de peces herbívoros en diferentes atolones, encontrándose diferencias significativas entre estos, pese a la homogeneidad de las comunidades coralinas (Russ, 1984a). Las diferencias entre abundancia y biomasa de peces herbívoros, a lo largo de diferentes comunidades coralinas de un conjunto de islas y localidades aparentemente homogéneas, se pueden relacionar con la salud coralina y estabilidad ecosistémica. Las áreas con un mejor estado de conservación se asocian con altas abundancias y biomasas (Heenan y Williams, 2013).
Dado este panorama, se plantea describir la estructura poblacional actual en términos de densidad y biomasa de las tres especies del género Acanthurus presentes en el Caribe y determinar si existen diferencias entre cuatro islas de los archipiélagos de San Andrés, Providencia y Santa Catalina (ASAP). Asimismo, a partir de los resultados obtenidos, se pretende realizar inferencias acerca de la conservación y estado de las comunidades coralinas de esas localidades. En cuanto a la estructura poblacional y distribución, se ha registrado ampliamente que los ecosistemas de manglar y praderas de pastos marinos son utilizados como hábitats de asentamiento de los individuos juveniles de las especies de Acanthurus (Nagelkerken et al., 2000; Dorenbosch et al., 2007). Sin embargo, no se ha documentado si existe algún patrón de preferencia o especificidad de hábitat por parte de los juveniles; este estudio plantea contrastar las abundancias de los peces cirujano juveniles con los hábitats de manglar, pradera de pastos marinos y arrecife de coral para establecer si hay preferencias o especificidad para su asentamiento en estos ecosistemas.
Figura 1: Ubicación del archipiélago en el área del Caribe insular colombiano.
Materiales y métodos
Aspectos generales del área de estudio
El ASAP [12°28’ - 36’ N, 81°40’ - 44’ W] (sistema de referencia Wgs84) está formado por un conjunto de atolones (Figura 1), islas de origen volcánico y bancos coralinos que se originaron a partir de volcanes dispuestos en las fracturas tectónicas de la corteza oceánica (Geister, 1973). El archipiélago en su conjunto tiene la mayor extensión arrecifal de Colombia y también es uno de los sistemas arrecifales más grandes del Caribe (Díaz-Pulido, 1997). Desde el año 2000, la Unesco catalogó al archipiélago como la Reserva de Biosfera “Seaflower” dada la importancia estratégica para la conservación de los recursos marinos del gran Caribe (Mow, Aguilera y Tabet, 2003). En esta investigación se evaluaron los atolones Bolívar y Serrana y las islas San Andrés y Providencia.
La isla de San Andrés posee un área de 27 km2 (Gobernación del Archipiélago de San Andrés Providencia y Santa Catalina, 2019). Está conformada por una plataforma arrecifal de origen pleistocénico y miocénico, al igual que por una terraza submarina de 200-500 m de ancho que se extiende por el lado occidental de manera contigua a la barrera arrecifal de la isla (Geister, 1973). Al ser una isla oceánica, San Andrés se caracteriza por tener aguas claras y poca influencia continental pues se localiza a 240 km de la costa continental centroamericana (Barriga-Bonilla, 1969). La isla de Providencia es de origen volcánico con sectores formados también por caliza coralina en un área de 17 km2, con una barrera arrecifal de 32 km de largo, así como una vasta cobertura de praderas de pastos y zonas de manglar (Díaz-Pulido, 1997; Mow, Aguilera y Tabet, 2003). Cayo Bolívar, por su parte, con una longitud máxima de 6,4 km y un ancho de 3,4 km, se caracteriza por una barrera que rodea la zona de barlovento del atolón y se extiende por todo el margen N, E y SE. En la zona de la laguna arrecifal se presentan numerosos parches coralinos de gran diversidad a profundidad variable, entre 3 y 18 m de profundidad (Barriga-Bonilla, 1969). Serrana, por su parte, es un banco de forma triangular originado a partir de un atolón, con una porción emergida de apenas 0,3 km2, con un arrecife irregular en su zona periférica y con formaciones coralinas que constituyen un área de 50 km2. Este atolón presenta la particularidad de que sus unidades ecológicas más frecuentes y abundantes son los escombros coralinos y escombros sobre algas, también un alto porcentaje está constituido por arena con parches dispersos de coral y escombros (Díaz et al., 2012).
Muestreo
Se realizaron censos visuales de las tres especies de Acanthurus (A. chirurgus, A. coeruleus y A. tractus) presentes en formaciones coralinas de cada uno de los cuatro sitios descritos (Figura 2), mediante el método de transectos de banda de 50 m de largo por 2 m de ancho (100 m2) (Hernández-Landa y Aguilar, 2019). Se empleó este método por ser considerado una de las aproximaciones prácticas más usadas en la estimación de abundancias y densidades de peces arrecifales (Samoilys y Carlos, 2000; Almany, 2004).
Figura 2: Mapa de la localización de los transectos en Providencia, Serrana, San Andrés y Bolívar.
En San Andrés se seleccionaron cinco estaciones de muestreo con cobertura coralina, profundidades y similares, en general, entre sí. En cada una de las estaciones se realizaron cinco transectos, cada uno fue considerado una réplica. Es decir, que para la isla de San Andrés se realizaron 25 réplicas, de modo que se muestreó un área total de 2500 m2.
El mismo procedimiento metodológico se realizó en la isla de Providencia y en Cayo Bolívar en las que también se abarcó un área total de muestreo de 2500 m2. En Cayo Serrana se tomaron datos de cuatro estaciones con cinco transectos en cada una; por lo que se hicieron en total 20 transectos abarcando un área de 2000 m2. En síntesis, para el ASAP se completaron 95 transectos que equivalen a un área total muestreada de 9500 m2.
En San Andrés los muestreos se realizaron en noviembre de 2018 y se repitió el procedimiento en octubre de 2019 para determinar así si existieron fluctuaciones poblacionales en términos de densidades en estos dos periodos. Los muestreos se realizaron en Serrana durante septiembre de 2018, en Bolívar en octubre de 2018 y en Providencia durante septiembre de 2019.
Los peces cirujanos se registraron teniendo en cuenta las categorías de tallas establecidas (0-10, 11-20 y 21-30 cm) por FishBase World Wide Web (Froese y Pauly, 2019) y, a partir de estas, calcular valores de biomasa con la base de datos de la World Wildlife Fund (WWF) para mejores prácticas de pesca en arrecifes coralinos por cada unidad de réplica equivalente a un área de 100 m2, según lo estipulado para el cálculo de biomasas de peces por cada unidad muestral (Bouchon-Navaro et al., 2006; WWF, 2006). Se tomaron como juveniles aquellos con una talla entre 0-10 cm y como adultos aquellos individuos con un tamaño superior a 10 cm.
Figura 3: Localización de las estaciones de muestreo para censos de juveniles de peces cirujano en pradera de pastos marinos, manglar y comunidades coralinas en la isla de San Andrés.
En la isla de San Andrés, se realizaron censos visuales sobre pradera de pastos marinos, manglar y arrecife coralino (Figura 3) para estimar abundancia juvenil (tallas inferiores a los 10 cm) de las tres especies de cirujanos. En cada uno de los hábitats se tomaron datos en cinco transectos de 50 m de largo por 2 m de ancho en septiembre y octubre de 2018 y en noviembre y diciembre de 2019. Se consideró el transecto como réplica y los muestreos en cada mes se usaron para la comparación temporal de la abundancia. Estos análisis fueron procesados mediante el software de uso libre R Core Team (2021).
Análisis de datos
Se exploraron los datos de abundancia estandarizados en densidades de 100 m2 de las tres especies de peces cirujano para las cuatro localidades, al igual que los datos calculados de biomasa en 100 m2. Se realizó la prueba no paramétrica de Kruskal-Wallis para corroborar si existían diferencias relevantes o no entre los cuatro sitios muestreados en el archipiélago para cada una de las especies. Posteriormente, para identificar cuáles sitios eran distintos entre sí se implementó el análisis de comparaciones por pares usando la prueba de suma de rangos de Wilcoxon (pruebas POST-HOC). Para el contraste entre la abundancia y la biomasa entre la primera y segunda toma de datos también se usó la prueba no paramétrica de Kruskal-Wallis. Estos análisis se procesaron utilizando el software de uso libre R Core Team (2021).
Se realizó también un análisis NMDS para determinar la agrupación de las densidades entre los sitios y sus similitudes. Estos análisis se procesaron con el paquete Vegan (Oksanen, 2016) de R. Finalmente, se efectuó una prueba de Mann-Whitney para evaluar diferencias en las densidades de las tres especies entre septiembre y octubre de 2018 y noviembre y diciembre de 2019. Se empleó la prueba Kruskal-Wallis para determinar la existencia de diferencias estadísticas en las densidades de individuos juveniles de cada una de las tres especies de peces cirujano respecto a su presencia en los hábitats de manglar, pradera de pastos marinos y arrecife de coral.
Resultados
Se observaron un total de 6075 individuos pertenecientes a las tres especies estudiadas del género Acanthurus; 1544 individuos en Cayo Bolívar, 1338 en San Andrés, 2131 en Providencia y 1062 en Cayo Serrana. En tres de los cuatro sitios la especie más abundante fue A. coeruleus, seguida de A. tractus, siendo la menos abundante A. chirurgus. La excepción fue Serrana, en la que la abundancia registrada para las tres especies fue similar, siendo además el único sitio en el que A. coeruleus no fue la especie más abundante (Figura 4).
Figura 4: Diferencias en las abundancias medias (ind.100 m2) de A. chirurgus, A. coeruleus y A. tractus.
En cuanto a la biomasa, A. coeruleus presentó mayor biomasa en todos los sitios con respecto a A. chirurgus y A. tractus, incluyendo Cayo Serrana pese a que, como ya se mencionó, no fue la especie más abundante en este sitio (Tabla 1). La mayor cantidad de biomasa promedio de A. chirurgus se registró en Cayo Serrana y la de A. tractus en Providencia de acuerdo con lo observado para la abundancia (Tabla 1).
Tabla 1: Registro del promedio de abundancia, densidad y biomasa de A. chirurgus, A. coeruleus y A. tractus para los sitios BOV: Bolívar, PROV: Providencia. SAI: San Andrés y SERR: Serrana.
Sitios
Especie
Promedio
Abundancia (ind. en 100 m2)
Densidad (ind.100 m2)
Biomasa (g.100m2)
BOV
A. chirurgus
4,8
0,048’
802,18
A. coeruleus
37,88
0,3788
5960,77
A. tractus
20,72
0,2072
2694,61
PROV
A. chirurgus
2,6
0,026’
612,38
A. coeruleus
58,8
0,588’
9439,07
A. tractus
26,84
0,2684
3960,12
SAI
A. chirurgus
1,68
0,0168
255,97
A. coeruleus
39,52
0,3952
8433,33
A. tractus
14,64
0,1464
2457,67
SERR
A. chirurgus
17,5
0,175’
2530,74
A. coeruleus
17,85
0,1785
3041,1
A. tractus
19
0,19
2694,61
La prueba de Kruskal-Wallis mostró que todas las especies presentaron diferencias significativas en al menos uno de los cuatro sitios (valor-p < 0,05). Con la prueba de Wilcoxon se evidenció que dichas diferencias se presentaron para A. coeruleus, entre Providencia-Bolívar y entre Serrana y los otros tres lugares estudiados; para A. chirurgus, en Serrana con respecto a las otras islas y entre de San Andrés-Bolívar; y para A. tractus solo se encontraron diferencias significativas entre San Andrés-Providencia y entre Serrana-Providencia (Tabla 2).
La prueba de Kruskal-Wallis no arrojó diferencias significativas al contrastar la abundancia de cada especie entre los dos periodos de muestreo llevados a cabo en SAI, por lo que se presentaron densidades similares para las tres especies entre el primer y segundo año, mostrando así que no hubo fluctuaciones poblacionales entre los dos periodos evaluados para San Andrés (Figura 5).
Tabla 2: Valores-p obtenidos con la prueba Wilcoxon para la biomasa y la densidad de las especies (A. chirurgus, A. coeruleus y A. tractus) entre los diferentes sitios (BOV, PROV, SAI y SERR).
Especie
Islas
Promedio
Densidad (ind.100 m2)
Biomasa (g.100m2)
A. chirurgus
PROV-BOV
0,397’
0,397’
SAI-BOV
0,38’
0,38’
SERR-BOV
0,000***
0,000***
SAI-PROV
0,207’
0,207’
A. coeruleus
SERR-PROV
0,000***
0,000***
SERR-SAI
0,000***
0,000***
PROV-BOV
0,010*
0,010*
SAI-BOV
0,155’
0,155’
A. tractus
SERR-BOV
0,000***
0,000***
SAI-PROV
0,335’
0,335’
SERR-PROV
0,000***
0,000***
SERR-SAI
0,000***
0,000***
Figura 5: Diagrama de las densidades (ind.100 m2) de juveniles de A. chirurgus, A. coeruleus y A. tractus en 2018 (SAI) y 2019 (SAI2).
Para los sitios, el NMDS mostró, en el eje dos, agrupación entre las abundancias totales de Serrana y un distanciamiento con respecto a las otras islas (Figura 6). Por último, San Andrés y Bolívar mostraron agrupación en sus abundancias, resaltando de esta manera el hecho de la cercanía geográfica entre estas dos islas, a diferencia de la distancia de Providencia y Serrana.
Figura 6: NMDS para las abundancias totales de las especies estudiadas (A. chirurgus, A. coeruleus y A. tractus) en BOV, PROV, SAI y SERR.
En relación con la abundancia y preferencia de hábitat por parte de los peces cirujano juveniles pertenecientes a las tres especies ya mencionadas, se encontró mediante la prueba de Mann-Whitney que no hubo diferencias significativas entre las abundancias de individuos juveniles de peces cirujano en los meses de septiembre y octubre de 2018 y noviembre y diciembre de 2019 (valor p > 0,05) (Figura 7).
Figura 7: Diagrama de barras de las abundancias totales de juveniles de A. chirurgus, A. coeruleus y A. tractus, durante cuatro meses de muestreo.
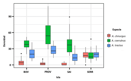
Figura 8: Diagrama de cajas de las densidades de juveniles de A. chirurgus, A. coeruleus y A. tractus, con respecto a los tres hábitats evaluados Arrecife, Manglar y Pastos Marinos (PM).
En la Figura 8 se observa una marcada tendencia de los juveniles de A. coeruleus hacia altas densidades en el arrecife coralino. Así mismo, A. chirurgus presenta densidades importantes de juveniles en manglar y en praderas de pastos marinos. También, se evidencian densidades altas de juveniles de A. tractus en arrecife y manglar.
La prueba de Kruskal-Wallis mostró que hay diferencias significativas en las densidades de las tres especies (A. chirurgus, A. coeruleus y A. tractus) en al menos uno de los tres hábitats, a un nivel de significancia de 0,05 (valor-p < 0,05). Mediante la prueba de suma de rangos de Wilcoxon se encontraron diferencias significativas para las densidades de A. chirurgus entre los hábitats de manglar y arrecife, así como también entre los hábitats de pastos marinos y arrecife (Tabla 3). Estas diferencias se pueden denotar en la Figura 8, debido a que se observa que la especie presenta densidades similares para los hábitats de pastos marinos y manglar, mientras que no se registraron individuos para el arrecife.
De igual forma, de A. tractus se halló un grupo relevante de individuos entre los ecosistemas de pastos marinos y manglar (Tabla 3), por lo que se pudo determinar la tendencia de mayores densidades de los juveniles de A. tractus en el hábitat de manglar (Figura 8). Por su parte, de A. coeruleus solo se registraron individuos de la especie para el arrecife coralino (Tabla 3).
Tabla 3: Diferencias de densidad entre hábitats para cada especie con los valores correspondientes de significancia.
Especie
Hábitat
Valor-p
A. chirurgus
Manglar-Arrecife
0,001**
Pastos marinos-Arrecife
0,000***
Pastos marinos-Manglar
0,398’
A. tractus
Manglar-Arrecife
0,269’
Pastos marinos-Arrecife
0,269’
Pastos marinos-Manglar
0,022*
Discusión
La mayor abundancia de A. coeruleus en tres de los cuatro sitios con respecto a los otros dos acantúridos concuerda con lo registrado por Mejía y Garzón-Ferreira (2000) para algunas localidades del archipiélago como Roncador y Albuquerque, donde A. coeruleus se caracterizó por ser una de las especies más abundantes. En el Atlántico occidental tropical también se ha documentado ampliamente a esta especie con densidades mayores en contraste con sus dos congéneres, donde de manera constante se presentan abundancias menores de A. tractus y A. chirurgus (Hernández-Landa y Aguilar, 2019) y, en general, mayor abundancia de A. coeruleus en relación con otros grupos de peces herbívoros (Hernández-Landa et al., 2015).
Al contrastar las abundancias obtenidas en el presente estudio con un área de conservación arrecifal que tiene alta densidad de peces herbívoros, como el arrecife Alacranes en el sur de México, se puede afirmar que las abundancias del arrecife Alacranes son considerablemente menores a las registradas en este estudio. Esto, si se tiene en cuenta que el estudio de Hernández-Landa y Aguilar (2019) presentó una abundancia media para A. coeruleus de 9,2 ind.100m2, para A. tractus de 3,9 ind.100m2 y para A. chirurgus de 3,4 ind.100m2. Esta disparidad podría explicarse como un recambio y ocupación de nicho de los cirujanos al existir una mayor explotación pesquera y menor nivel de conservación de otros peces herbívoros, como los peces loro.
Lo anterior debido a que en el ASAP se ha documentado la sobreexplotación y alto consumo de peces loro, mientras que los cirujanos permanecen como un grupo relativamente poco explotado (Santos Martínez et al., 2009; Gómez et al., 2012). La ocupación de nicho posiblemente se deba a que se ha establecido que los peces cirujano presentan similitudes en el consumo y aprovechamiento de macroalgas con los peces loro del género Sparisoma, específicamente A. coeruleus, el herbívoro más abundante del Caribe, que muestra un solapamiento parcial de nicho con S. viride, una de las especies de scáridos más abundante en la región (Dromard et al., 2015).
Los peces cirujano del Caribe en conjunto con los otros grupos de herbívoros ejercen el principal medio de control sobre las comunidades algales. Los herbívoros, al controlar indirectamente a las algas, regulan la competencia alga-coral, siendo esta una de las principales interacciones simbióticas en el bienestar y estabilidad ecológica de las comunidades coralinas (Adam et al., 2011; Holbrook et al., 2016). En específico, las tres especies estudiadas son consideradas moduladoras tróficas de la abundancia de macroalgas y se ha establecido que regulan la aparición del tapete de algas mediante su consumo, por ejemplo, en sucesiones iniciales en entornos con perturbación y disminución de la cobertura coralina (Duran et al., 2019).
En ese sentido, en ambientes con un alto grado de pesca de herbívoros, los peces cirujano podrían considerarse como el principal modulador de algas ante la eventual reducción de las abundancias de otros miembros de ese gremio. Esto, debido a que se ha observado una tendencia en la que los cirujanos disminuyen en abundancia y biomasa, pero lo hacen en menor grado comparados con otros grupos de peces herbívoros (Hawkins y Roberts, 2004). Sin embargo, para el área del Caribe la carencia de investigaciones que contrastan las poblaciones de este grupo de peces, entre localidades o islas con diferentes grados de perturbación natural o antropogénica, hacen difícil establecer paralelismos.
La biomasa en las islas del ASAP en general fue mayor también a la de peces cirujano de otras áreas protegidas como la de Alacranes en el sur de México (Hernández-Landa y Aguilar, 2019). Esto posiblemente influenciado por el aumento exponencial en términos de biomasa de peces cirujanos del Caribe ante el previo declive poblacional del herbívoro Diadema antillarum (Robertson, 1991).
La diferencia presentada en la abundancia y biomasa de A. chirurgus en cayo Serrana con respecto a las otras tres localidades de estudio, se debe posiblemente a que las condiciones abióticas y bióticas del área pueden modular este marcado patrón diferencial de abundancias. Lo anterior debido a que se ha determinado que en Serrana las unidades ecológicas más frecuentes son los escombros coralinos y los escombros colonizados por algas calcáreas (Díaz et al., 2012). Acanthurus chirurgus se caracteriza por ser principalmente un consumidor de macroalgas calcáreas a diferencia de sus dos congéneres (Ferreira et al., 2004).
Acanthurus coeruleus no presentó diferencias estadísticas en abundancia entre San Andrés y Bolívar, debido a que estas son cercanas geográficamente. Además, se ha encontrado que la distribución y abundancia de peces herbívoros es homogénea entre comunidades coralinas con coberturas parecidas (Bellwood, 2003; Burkepile y Hay, 2008). Puesto que ambos sitios se caracterizan por presentar una estructura coralina y de cobertura algal relativamente similar (Díaz et al., 2012), no es de extrañar que no existan diferencias significativas. Acanthurus coeruleus es una especie consumidora de algas carnosas y en Serrana se ha registrado una leve disminución en el porcentaje de cobertura de este grupo, así como el aumento de escombros y cascajo de origen coralino, lo que puede asociarse a la baja abundancia de la especie en esta isla en comparación con las de las otras localidades del ASAP (Dromard et al., 2015; Sánchez et al., 2019).
Acanthurus tractus es catalogada tróficamente como un consumidor principal de tapetes algales y del alga parda Dyctiota, habiéndose determinado que su abundancia y distribución está correlacionada con la presencia de esos grupos de algas (Dromard et al., 2015; Duran et al., 2019). La baja abundancia en San Andrés y Serrana de A. tractus se puede relacionar con las bajas coberturas de este grupo de algas en esas localidades, opuesto a lo registrado en Providencia y Cayo Bolívar. En el caso específico de Serrana existe un antecedente reciente de la reducción de coberturas algales, aunque en esta isla ha sido menor este proceso que en otros lugares como Roncador (Sánchez et al., 2019).
Los diferentes patrones de abundancia y distribución de peces herbívoros a lo largo de un gradiente de islas y cayos han sido registrados en otras zonas, como la gran barrera de coral australiana (Russ, 1984a). En los cirujanos, en particular, se ha demostrado que hay diferencias entre las abundancias de islas dadas por factores como la extensión de la comunidad coralina, la distancia a la costa de las islas y la abundancia de otros grupos de herbívoros (Russ, 1984b). Las agrupaciones claras entre la abundancia y biomasa en las pruebas NMDS, donde se mostró un distanciamiento de Cayo Serrana con respecto a las islas restantes y asociación entre las islas con cercanía geográfica como Cayo Bolívar y San Andrés, también pueden estar relacionadas con lo expuesto para los peces cirujano en la Gran Barrera de Coral.
La comparación temporal de las abundancias de los peces cirujanos en San Andrés entre 2018 y 2019 no arrojó diferencias estadísticas. Lo anterior se puede explicar gracias a estudios previos de variación temporal de peces herbívoros que han demostrado que no existen fluctuaciones notorias en peces con poca explotación pesquera, como los mismos cirujanos y los de la familia Kyphosidae, al igual que tampoco hay variaciones temporales en las abundancias registradas en la misma temporada climática (Kopp et al., 2012). En este estudio las abundancias fueron tomadas en la segunda mitad del año durante la misma estación climática. En cuanto a la abundancia y preferencia de hábitat de peces cirujano juveniles, se tuvo que la estabilidad en el número de individuos juveniles en los dos periodos muestreados, también se fundamenta en el registro de datos durante la misma estación climática (Kopp et al., 2012), al haberse llevado a cabo estas durante la segunda mitad de ambos años.
Por otro lado, la notoria preferencia por el arrecife coralino de los juveniles de A. coeruleus es un patrón ya documentado con anterioridad, pues se ha observado la exclusiva presencia de individuos de la especie en comunidades coralinas. Llegan, incluso, a presentar comportamientos de territorialidad similares a los de los peces damisela de la familia Pomacentridae, los cuales mantienen un área de forrajeo determinada en torno a una comunidad de macroalgas (Morgan y Kramer, 2005). En otras áreas del Caribe también se han registrado individuos de A. coeruleus en praderas de pastos marinos y manglar, pero en bajas densidades en contraste con las comunidades coralinas (Nagelkerken et al., 2000, 2002).
En otros estudios del Caribe los hallazgos han sido diversos en cuanto a la distribución de juveniles en zonas de guardería de peces arrecifales. En Curaçao, A. chirurgus presentó afinidad por el manglar, mientras que en Bonaire por las praderas de pastos marinos (Nagelkerken et al., 2002); en San Andrés no hubo un patrón de especificidad por alguno de estos ambientes, aunque en contraste con los estudios de otras áreas cabe resaltar que en esta isla no se encontraron individuos juveniles en las comunidades coralinas.
Los juveniles de A. tractus en localidades del Caribe se caracterizan por permanecer en cardúmenes numerosos en los arrecifes de coral y, en menor medida, en las praderas de pastos marinos y manglar (Dorenbosch et al., 2007; Nagelkerken, 2009). En San Andrés, si bien se registraron abundancias tanto para manglar como para arrecife de coral, la mayor abundancia de juveniles se observó en el manglar, siendo este un patrón no mencionado en estudios previos de reclutamiento y escogencia de hábitat de peces con desarrollo ontogénico inicial en las guarderías de peces arrecifales como manglares y pastos marinos.
Conclusiones
Se encontraron diferencias en términos de abundancia y biomasa en las tres especies de Acanthurus entre las localidades evaluadas del ASAP, con una mayor abundancia en comparación de otras áreas del Caribe que poseen una menor intervención antropogénica. Pese a su cercanía y características ecológicas similares, se evidencia que las abundancias de Acanthurus fluctúan por diferentes factores antrópicos o naturales en las comunidades coralinas, con una preferencia de A. coeruleus por las zonas arrecifales y de A. tractus por los manglares.
En este estudio se presentó el patrón observado en el Caribe con A. coeruleus más abundante que sus congéneres. Se destaca la importancia de otros ecosistemas marinos como los manglares y las praderas de pastos en el desarrollo en peces herbívoros que en su etapa adulta residen en las comunidades coralinas.






